365英国上市(集团)有限公司-Official website
集团官网
设为首页
|
加为收藏
站内搜索:
首页
关于我们
英国上市公司365简介
历史沿革
组织机构
现任领导
英国上市公司365动态
公司风采
党群工作
理论专栏
专题教育
支部工作
党员发展
工会活动
团队队伍
教师结构
教学名师
教师风采
近年引进的高层次人才
研究生教育
工作动态
学科介绍
培养工作
学位工作
博士生导师
硕士生导师
旗下产业
工作动态
专业介绍
教学成果
实验中心
学科与科研
工作动态
学科设置
学术活动
科研平台
项目成果
三全育人
工作动态
团学工作
人才招聘
政策解读
课程育人
科研育人
实践育人
文化育人
网络育人
心理育人
管理育人
服务育人
资助育人
组织育人
合作交流
国际合作与交流
校企合作
员工之窗
员工工作
员工风采
资源服务
图书资料
校院制度
信息公开
下载专区
研究生教育
Graduate study
工作动态
学科介绍
培养工作
学位工作
博士生导师
硕士生导师
工作动态
当前位置:
首页
>
研究生教育
>
工作动态
> 正文
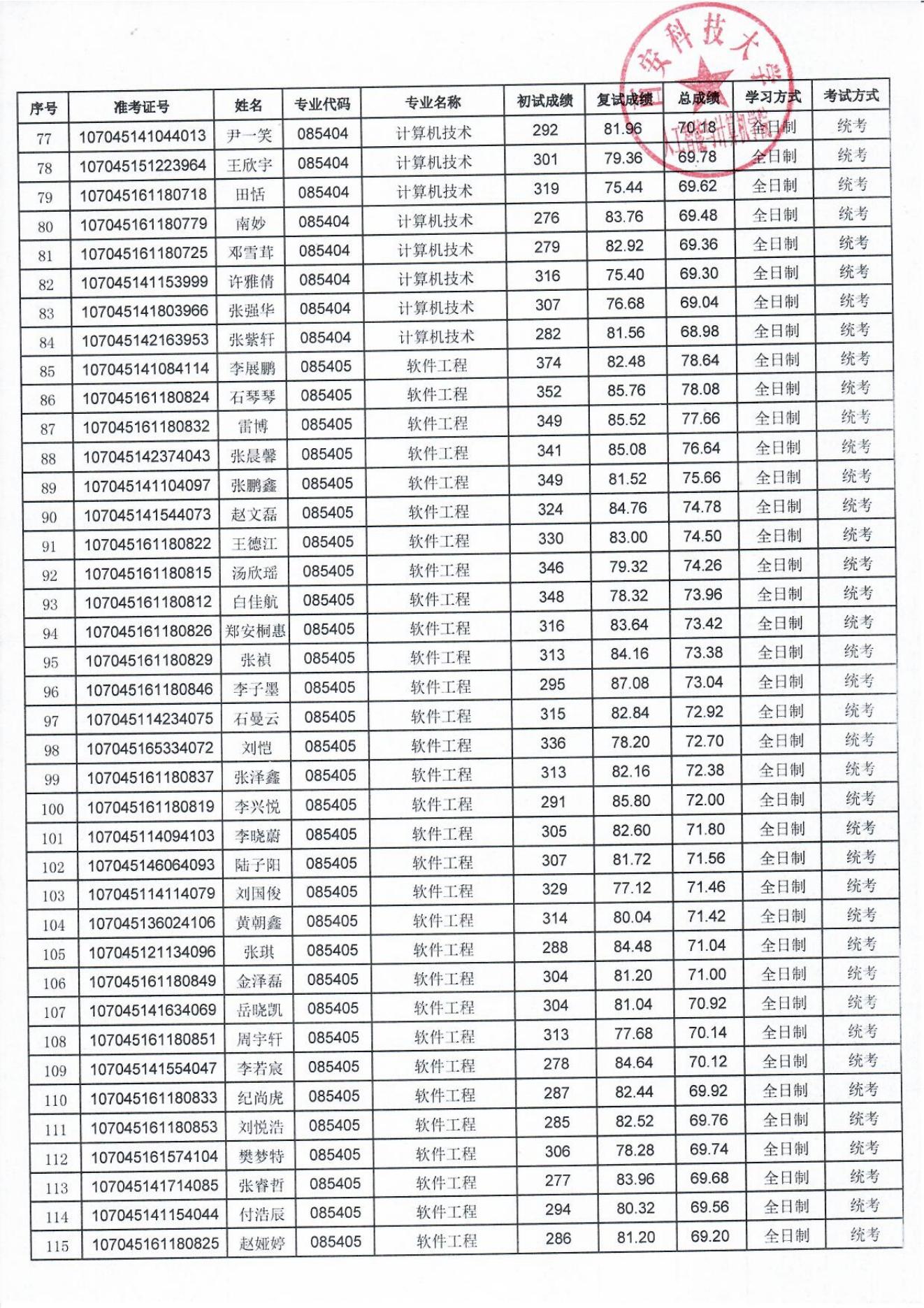
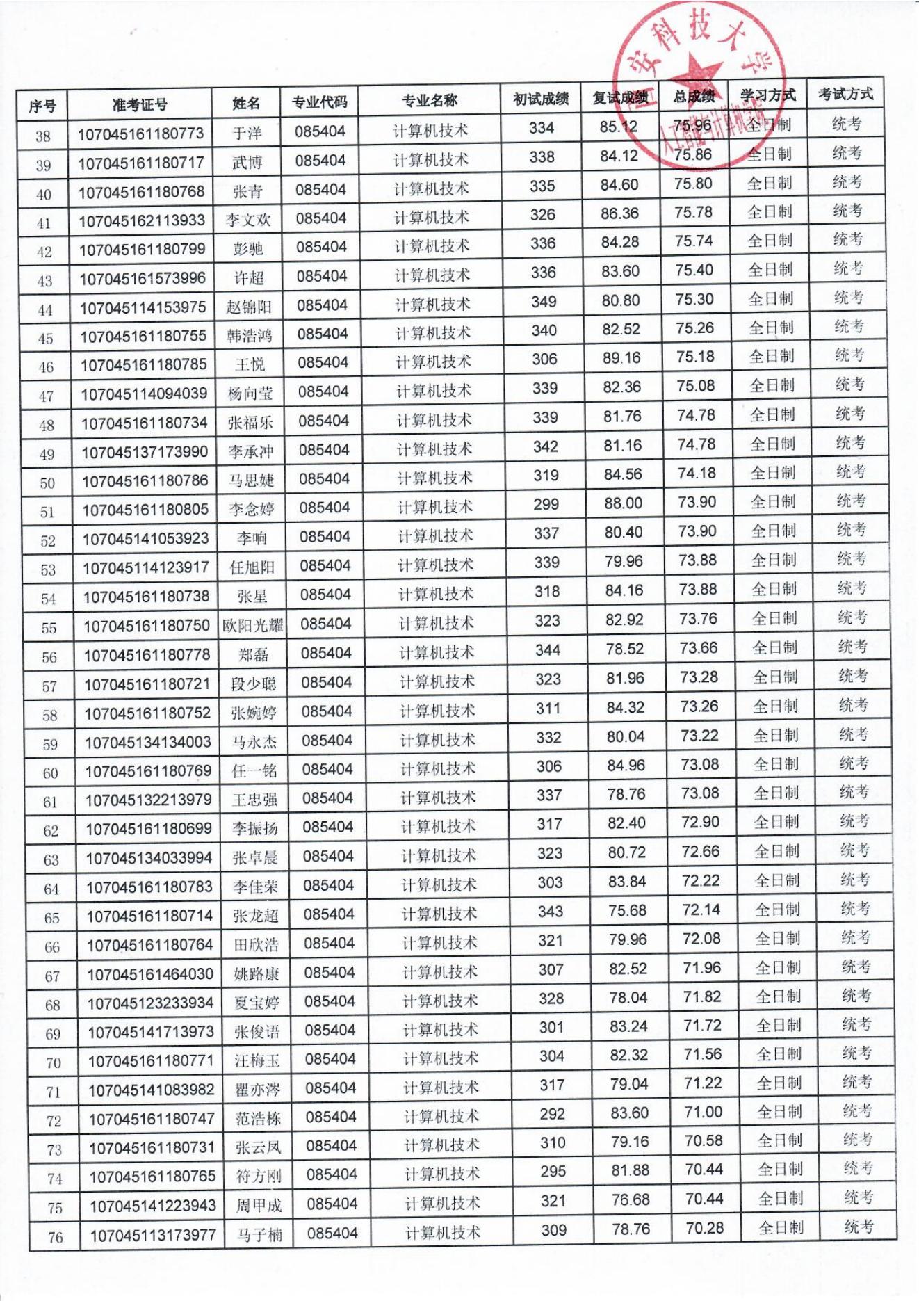
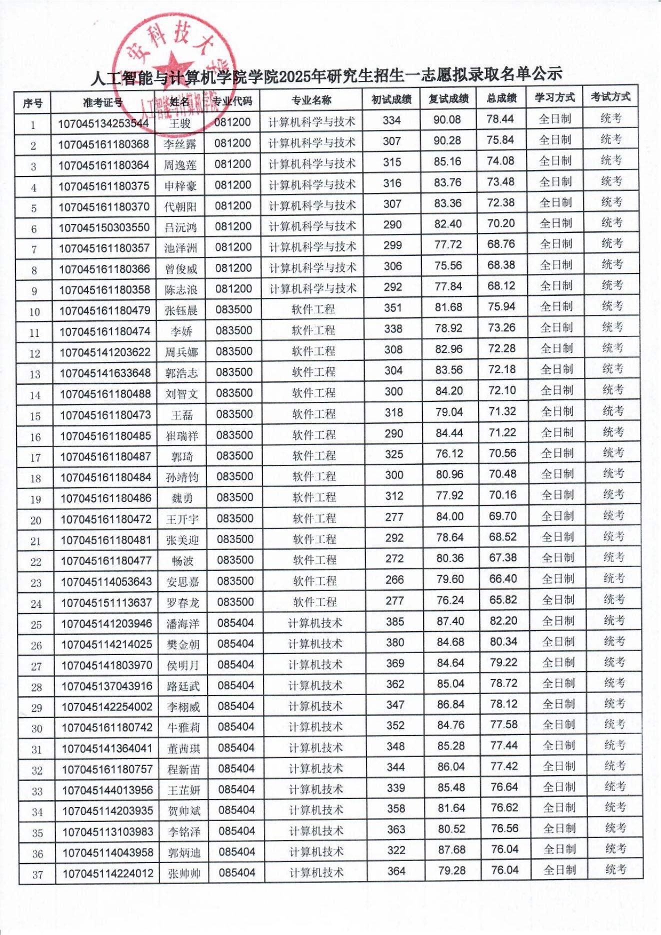
2025年研究生招生一志愿拟录取名单公示
发布日期:2025-03-31 浏览数:
上一篇:2025年硕士研究生接收调剂公告
下一篇:2025年硕士研究生招生复试工作方案
友情链接: